график и остановки
Перейти к контенту

Расписание автобусов в Амурске

С 10 февраля 2026 года автобусы, следующие по городским муниципальным маршрутам регулярных перевозок, будут отправляться от платформы № 2 Автовокзала, в связи с переносом остановки «Автовокзал» (для посадки/высадки пассажиров на пригородное, междугороднее и межмуниципальное автобусное сообщение) на платформу № 1, согласно решению Амурской районной комиссии по обеспечению безопасности дорожного движения.

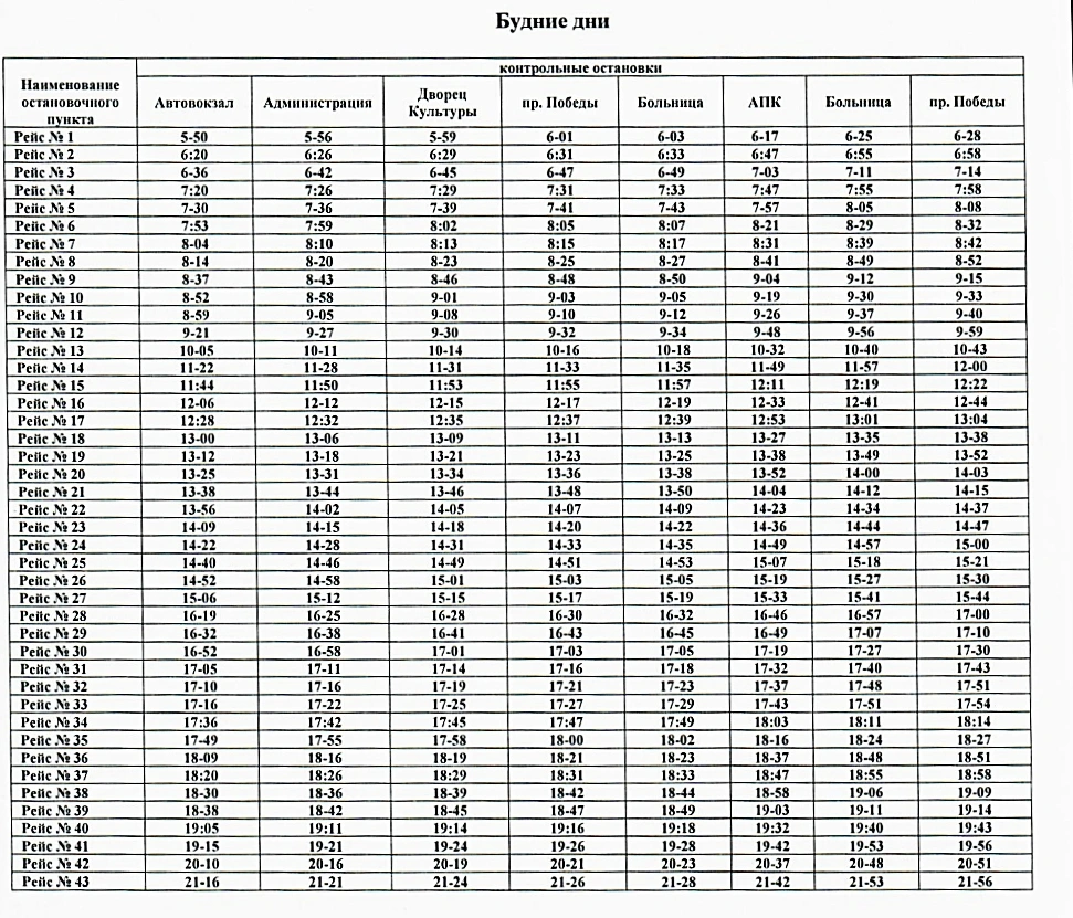
№ 46 "Автовокзал-8 микрорайон" с "15" октября 2025 г. по "09" апреля 2029 г.

Расписание дачных автобусов Амурска с 1 мая 2025 г.

№102 "Амурск-Дачи ""ЦКК"

🚏Остановочные пункты с г. Амурска: Автовокзал, площадь, 4 школа, 24 магазин, поликлиника.
🚏Остановочные пункты от СНТ: Дом быта, 24 магазин, Эдем, библиотека, автовокзал.
Федорович


🚏Остановочные пункты: Автовокзал, Кольцо, 9-ый км., 12-ый км., Амональный, Сады I, Сады II, Сады III, Сады IV, Сады V, Сады VI, Конечная, Сады VI, Сады V, Сады IV, Сады III, Сады
II, Сады I, Амональный, 12-ый км., 9-ый км., Кольцо, Автовокзал

Примечание:
👉 При осадках и неблагоприятных погодных условиях рейсы на 10-30, 15-10 с автовокзала не выполняются
👉 В случае низкого пассажиропотока - возможно изменение расписания (август, сентябрь м-ц)
Расписание действует с 17 марта 2025 г. С 16 декабря стоимость проезда в вышеуказанном автобусе составит 45 рублей за одну поездку.



Другие маршруты Амурска.

№ 1. Автовокзал - п. Индивидуальный
№ 2. Автовокзал - ТЭЦ
№ 7
№ 9
№ 11 «Автовокзал - 8 микрорайон»
№ 111 г. Амурск - сады СНТ "Ясное, Туманное"
№ 102 «Амурск - Дачи «ЦКК»
№ 104 «Амурск - дачи "Треста"»
№4
4 «Автовокзал - 8 микрорайон»
4 «Автовокзал - 8 микрорайон»
№4б
№ 46 "Автовокзал-8 микрорайон"
№ 46 "Автовокзал-8 микрорайон"
№64
№ 64 «Автовокзал - 8 микрорайон»
№ 64 «Автовокзал - 8 микрорайон»
№ 6А «Автовокзал - 8 микрорайон»
№102 "Амурск-Дачи ""ЦКК"
№111 "Амурск- сады СНТ "Ясное, Туманное"
 №103 и 103 А «г.Амурск - ст.Мылки»
Остановочные пункты автобусов по маршруту № 103 «г. Амурск - ст. Мылки»

Автовокзал, Дворец Культуры, Кольцо, 5-ый км., 9-ый км., 12-ый км., дачи АМЗ, поворот на ст.
Мылки, Голубичная, Подсобное хозяйство, Магазин, станция Мылки, поворот на ст. Мылки, дачи АМЗ, 12-ый км., 9-ый км., 5-ый км, Больница, 24 магазин, Поликлиника, Автовокзал
 №103 и 103 А «г.Амурск - ст.Мылки»
Остановочные пункты автобусов по маршруту № 103А «г. Амурск - ст. Мылки»

Автовокзал, Дворец Культуры, Кольцо, 5-ый км., 9-ый км., 12-ый км., дачи АМЗ, поворот на ст.
Мылки, Голубичная, Подсобное хозяйство, Магазин, станция Мылки, поворот на ст. Мылки, дачи АМЗ, 12-ый км., 9-ый км., 5-ый км, Больница, 24 магазин, Поликлиника, Автовокзал

№ 120 Амурск - Комсомольск
№ 103А «г. Амурск - ст. Мылки»

🚏 Остановочные пункты:

Автовокзал, Дворец Культуры, Кольцо, 5-ый км., 9-ый км., 12-ый км., дачи АМЗ, поворот на ст.
Мылки, Голубичная, Подсобное хозяйство, Магазин, станция Мылки, поворот на ст. Мылки, дачи АМЗ, 12-ый км., 9-ый км., 5-ый км, Больница, 24 магазин, Поликлиника, Автовокзал

👉 Расписание движения автобусов по маршруту № 103 «г. Амурск - ст. Мылки»

🚏 Остановочные пункты:

🔹Автовокзал, Дворец Культуры, Кольцо, 5-ый км., 9-ый км., 12-ый км., дачи АМЗ, поворот на ст.
Мылки, Голубичная, Подсобное хозяйство, Магазин, станция Мылки, поворот на ст. Мылки, дачи АМЗ, 12-ый км., 9-ый км., 5-ый км, Больница, 24 магазин, Поликлиника, Автовокзал
Остановки маршрутов общественного транспорта в г. Амурск:

1. Автовокзал - п. Индивидуальный
Туда: Автовокзал → Администрация → Кинотеатр "Молодость" → Дворец Культуры → пр. Комсомольский, 19 → пр. Победы → Кольцо → Больница → Бывший магазин → Большое кольцо → п. Индивидуальный
Обратно: п. Индивидуальный → Большое кольцо → Бывший магазин → Больница → Техникум → пр. Победы → Библиотека → Обелиск Памяти → Автовокзал
2. Автовокзал - ТЭЦ
Туда: Автовокзал → Администрация → Кинотеатр "Молодость" → Дворец Культуры → пр. Победы → Кольцо → Редакция → ТЭЦ
Обратно: ТЭЦ → Редакция → Кольцо → пр. Победы → Библиотека → Обелиск Памяти → Автовокзал
46. Южный микрорайон - 8 микрорайон
Туда: Автовокзал → Южный микрорайон → Спорткомплекс → Набережная Первостроителей → Администрация → Кинотеатр "Молодость" → Дворец Культуры → пр. Победы → Больница → 6-я школа → Аптека → 5-й микрорайон → 7-я школа → Поликлиника → Хлебокондитерский → 8-й микрорайон → Универсам → пр. Комсомольский, 83 → Художественная школа → Дом быта → Магазин №24
Обратно: Магазин №24 → Больница → Гуд Сити → Кольцо → пр. Победы → Библиотека → Обелиск Памяти → Автовокзал
4. Автовокзал - 8 микрорайон
Туда: Автовокзал → Южный микрорайон → Спорткомплекс → Набережная Первостроителей → Администрация → Кинотеатр "Молодость" → Дворец Культуры → пр. Победы → Больница → 6-я школа → Аптека → 5-й микрорайон → 7-я школа → Поликлиника → Художественная школа → пр. Комсомольский, 83 → ГПТУ-44 → Дом быта → Магазин №24
Обратно: Магазин №24 → Больница → Техникум → пр. Победы → Библиотека → Обелиск Памяти → Автовокзал
6. Автовокзал - 8 микрорайон
Туда: Автовокзал → Южный микрорайон → Спорткомплекс → Набережная Первостроителей → Администрация → Кинотеатр "Молодость" → Дворец Культуры → пр. Победы → Больница → 24 магазин → Дом быта → Поликлиника → Хлебокондитерский → 8-й микрорайон → Универсам
Обратно: Универсам → пр. Комсомольский, 83 → Художественная школа → 7-я школа → 5-й микрорайон → 6-я школа → Больница → Техникум → пр. Победы → Библиотека → Обелиск Памяти → Автовокзал
7. Автовокзал – завод «Вымпел»
Туда: Автовокзал → Администрация → Кинотеатр "Молодость" → Дворец Культуры → пр. Победы → Кольцо → Редакция → ТЭЦ → Амуркамень → 5-й км → Промбаза → База ЛДК → ЛДК поворот → Пожарное депо → завод «Вымпел»
Обратно: завод «Вымпел» → Пожарное депо → ЛДК поворот → База ЛДК → Промбаза → 5-й км → Амуркамень → ТЭЦ → Редакция → Кольцо → пр. Победы → Библиотека → Обелиск Памяти → Автовокзал
8. 8-й микрорайон – ТЭЦ
Туда: Автовокзал → Больница → 24 магазин → Дом быта → Поликлиника → Хлебокондитерский → 8-й микрорайон → Универсам → пр. Комсомольский, 83 → Художественная школа → 7-я школа → 5-й микрорайон → 6-я школа → Больница → Кольцо → Редакция → ТЭЦ
Обратно: ТЭЦ → Редакция → Кольцо → Больница → 24 магазин → Дом быта → Поликлиника → Хлебокондитерский → 8-й микрорайон
9. 8-й микрорайон – завод «Вымпел»
    Туда: Больница → 24 магазин → Дом быта → Поликлиника → Хлебокондитерский → 8-й микрорайон → Универсам → пр. Комсомольский, 83 → Художественная школа → 7-я школа → 5-й микрорайон → 6-я школа → Больница → Кольцо → Редакция → ТЭЦ → Амуркамень → 5-й км → Промбаза → База ЛДК → ЛДК поворот → Пожарное депо → завод «Вымпел»
      Обратно: завод «Вымпел» → Пожарное депо → ЛДК поворот → База ЛДК → Промбаза → 5-й км → Амуркамень → ТЭЦ → Редакция → Кольцо → Больница → 24 магазин → Дом быта → Поликлиника → Хлебокондитерский → 8-й микрорайон
      11. Автовокзал – 8-й микрорайон
        Туда: Автовокзал → Взрывпром → ПЖРЭТ → Кольцо → Больница → 6-я школа → Аптека → 5-й микрорайон → 7-я школа → Хлебокондитерский → 8-й микрорайон → Универсам → пр. Комсомольский, 83 → Художественная школа → Дом быта → Магазин №24
          Обратно: Магазин №24 → Больница → Техникум → Горводоканал → Взрывпром → Автовокзал
          102. г. Амурск – дачи ЦКК
            Туда: Автовокзал → Дачи I → Орбита II → Орбита III → Орбита IV → Орбита V → Конечная
              Обратно: Конечная → Орбита V → Орбита IV → Орбита III → Орбита II → Дачи I → Автовокзал
              103. г. Амурск – ст. Мылки
                Туда: Автовокзал → Дворец Культуры → Кольцо → 5-й км → 9-й км → 12-й км → дачи АМЗ → поворот на ст. Мылки → Голубичная → Подсобное хозяйство → Магазин → станция Мылки
                  Обратно: станция Мылки → Магазин → Подсобное хозяйство → Голубичная → поворот на ст. Мылки → дачи АМЗ → 12-й км → 9-й км → 5-й км → Кольцо → Автовокзал
                  3. г. Амурск – дачи ДНТ «Новые Черемушки»
                    Туда: Автовокзал → Администрация → Кинотеатр "Молодость" → Дворец Культуры → пр. Победы → Больница → 6-я школа → Аптека → 5-й микрорайон → 7-я школа → Поликлиника → Хлебокондитерский → 8-й микрорайон → ГПТУ-44 → Дом быта → Магазин №24 → Больница → Кольцо → Редакция → ТЭЦ → Амуркамень → 5-й км → Промбаза → совхоз Молодежный → Конечная
                      Обратно: Конечная → совхоз Молодежный → Промбаза → 5-й км → Амуркамень → ТЭЦ → Редакция → Кольцо → пр. Победы → Библиотека → Обелиск Памяти → Автовокзал
                      104. г. Амурск – сады СНТ «Подгорное»
                      Туда: Автовокзал → Кольцо → 9-й км → 12-й → Амональный → поворот на дачи АМЗ → поворот на ст. Мылки → Дачи I → Дачи II → Дачи III → 321 км → Дачи V → Дачи VI → Дачи VII → Стелла
                      Обратно: Стелла → Дачи VII → Дачи VI → Дачи V → 321 км → Дачи III → Дачи II → Дачи I → поворот на ст. Мылки → поворот на дачи АМЗ → Амональный → 12-й км → 9-й км → Кольцо → Автовокзал
                      111. г. Амурск – сады СНТ «Ясное, Туманное»
                        Туда: Автовокзал → Кольцо → 9-й км → 12-й км → Амональный → Сады I → Сады II → Сады III → Сады IV → Сады V → Сады VI → Конечная
                          Обратно: Конечная → Сады VI → Сады V → Сады IV → Сады III → Сады II → Сады I → Амональный → 12-й км → 9-й км → Кольцо → Автовокзал
                          64. Южный – 8-й – 5-й микрорайон
                            Туда: Автовокзал → Южный микрорайон → Спорткомплекс → Набережная Первостроителей → Администрация → Кинотеатр "Молодость" → Дворец Культуры → пр. Победы → Больница → 24 магазин → Дом быта → Поликлиника → Хлебокондитерский → 8-й микрорайон → Универсам → пр. Комсомольский, 83 → Художественная школа → 7-я школа → 5-й микрорайон
                              Обратно: 5-й микрорайон → 6-я школа → Больница → Техникум → пр. Победы → Библиотека → Обелиск Памяти → Автовокзал
                              103а. г. Амурск - ст. Мылки
                                Туда: Автовокзал → Дворец Культуры → пр. Победы → Кольцо → 5-й км → 9-й км → 12-й км → дачи АМЗ → поворот на ст. Мылки → Голубичная → Магазин → станция Мылки
                                  Обратно: станция Мылки → Магазин → Голубичная → поворот на ст. Мылки → дачи АМЗ → 12-й км → 9-й км → 5-й км → Кольцо → пр. Победы → Библиотека → Обелиск Памяти → Автовокзал
                                  6а. Автовокзал - 8 микрорайон
                                  Туда: Автовокзал → Южный микрорайон → Спорткомплекс → Набережная Первостроителей → Администрация → Кинотеатр "Молодость" → Дворец Культуры → пр. Победы → Больница → 24 магазин → Дом быта → Поликлиника → Хлебокондитерский → 8-й микрорайон → Универсам
                                  Обратно: Универсам → пр. Комсомольский, 83 → Художественная школа → 7-я школа → 5-й микрорайон → 6-я школа → Больница → Техникум → пр. Победы → Библиотека → Обелиск Памяти → Автовокзал

                                  Назад к содержимому